电缆故障高压电桥定位原理

Ø 利用Murray电桥对击穿点定位是经典的办法,方便而准确。电桥法的依据是线芯(或屏蔽层)电阻均 匀,与长度成比例。下图3为一典型用法。

图3 电桥接线图
Ø ZGH为高压恒流源。
Ø 故障电缆为B相线芯,对钢带在L1处击穿。辅助电缆为A相线芯。A、B相线芯截面相同,长度均为L,故障点距测量端的距离为L1。
Ø 测量夹接至电缆线芯M、X两端,夹子的两侧分别为电流电位端,均应与电缆可靠连接。
Ø r为调节平衡用的10圈电位器,与A、B两相共同构成电桥,刻度盘读数为千分比。
Ø G为检流计,电气平衡零点可调。
Ø 在远端通过C型夹专用短路线,短路NY两端。
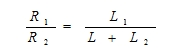
L1段电缆线芯电阻为R1,L2段电缆及A相电缆线芯的电阻为R2。与定位电桥构成Murray电桥回路。其电路原理如图4。

电桥平衡后 
图中
平衡后有
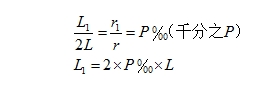
比例臂电阻与10圈刻度盘相连,电阻比例P可由刻度盘读取,因此:
由此可见,只要电桥有一定的灵敏度并能平衡,电桥法定位简单而精确。
2、测量步骤

图5 电桥接线示意图
(1)用万用表,摇表或其它耐压设备确认电缆击穿状态,记录各相线的对地绝缘电阻或击穿残压等数值。
(2)记录待测电缆长度、型号、截面等参数,沿电缆敷设路径巡视,在远端将故障相与故障相可靠短接(接触电阻越小越好),并留一人在远端监护,以免高压伤人。
(3)接线。仪器接地端可靠接至定位现场接地体。放电棒接在接地端。测量首端(红夹)接在故障线线芯,测量末端(黑夹)接辅助线线芯。
(4)电桥调零。电池开关置“开”,旋转调零钮,(若指针偏左,顺时针旋转,指针偏右,逆时针旋转)。使检流计指零。此后电池开关及时置“关”。确认电池开关置“关”!在关位置时,不但关闭检流计放大器电池,同时短路比例电位器,断开检流计。可避免升压燃弧阶段的脉冲电流损坏电桥。因此,在电流稳定前,电池开关必须处于“关”位置。
(5)电源接在AC220V。仪器内电源插座接地点悬空,因此,不要求电源线可靠接地。
(6)升压。首先将高压调节旋钮逆时针旋转至零位,为了使得高压恒流源从零开始,逐渐升高,防止打开电源开关时,突然有一个较高电压输出,保证升压过程的安全。打开电源开关,电源指示灯亮。
(7)顺时针缓慢旋转高压调节钮,观察电压表及电流表,直到电流表指示达到8mA左右。若电流不稳定,可继续升高电压,保持一段时间,形成稳定电弧或导电区,使测试过程的电流稳定。
(8)平衡调节。顺时针旋转放大旋钮,逐档增大灵敏度,至检流计有明显偏转但不过度,旋转‰刻度盘,使检流计指零。(若指针偏左,顺时针旋转,指针偏右,逆时针旋转)。逐档提高灵敏度,使指针偏转对‰旋钮的微小调节敏感即可。
(9)记下此时‰刻度盘的读数P1‰。应有P1≤500,否则可能由于红黑夹接反。
(10)降电压,关闭电源,放电,并经另一人确认。将测量钳交换位置,(专用短接线C形夹不必更换位置)。重复步骤(4)至(10)得到另一 读数P2,应有P1+P2=1000。该过程能避免读数及测量钳使用上的错误,P1+P2不必追求完全等于1000。在9990及1010之间均属正常。在高压合闸,无电流输出,当前灵敏度档重复调零能得到更为准确的比例。
(11)计算。故障点的位置为:X=2×L×P1‰,应特别注意公式中的“2”,辅助电缆使参与计算的电缆延长了一倍。
Copyright © 西安光大百纳电子科技有限公司 版权所有 陕ICP备19014074号-1
全国服务电话:13991193588 传真:029-89288537
公司地址:西安市科技路8号凯丽大厦